北理工“拓扑绝缘体中能带反转诱导的反常等离激元”研究成果在《物理评论快报》上发表
发布日期:2018-01-17 供稿:物理学院
编辑:周格羽 审核:苏文勇 阅读次数:
最近,金年会jinnianhuicom物理学院姚裕贵教授课题组(博士研究生张福如、姚裕贵教授)与美国卡内基梅隆大学的肖笛教授和卡内基梅隆大学/香港大学周建辉博士合作预言了在本征拓扑绝缘体中能带反转诱导的反常等离激元。相关研究成果发表在近期的《物理评论快报》上[Phys. Rev. Lett. 119, 266804 (2017)],该工作得到国家自然科学基金委和科技部的资助。
等离激元是凝聚态物理中最重要的元激发之一,十九世纪五十年代初David Pines和David Bohm首先提出了等离激元的概念,它描述电子液体中普遍存在的由于库仑相互作用引发的电子密度的集体振荡行为。在长波极限下,等离激元频率通常正比于费米能级处的载流子的态密度,因而等离激元主要存在于金属、掺杂的半导体和半金属中。六十多年来,科学家对等离激元的研究不断深入和壮大,对它的研究逐渐发展成为等离激元光子学和一系列相关交叉学科,等离激元在生物医学灵敏成像、光信息通讯、国家安全等领域都有着广泛的应用前景。

图1:反转能带中不同能带间跃迁过程分解示意图

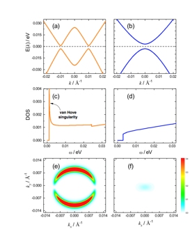
图2:反带与正带体系的能带结构、态密度和波函数交叠图

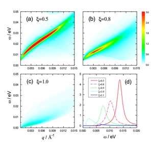
图3:不同外场强度下等离激元的色散关系和相应能量损失函数

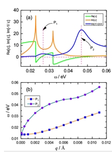
图4:破坏粒子--空穴对称性项使得等离激元能谱发生劈裂,形成双峰结构(P1 和P2)

图5:轻度掺杂拓扑绝缘体薄膜中(化学势μ="0.004eV)等离激元的色散关系
拓扑绝缘体和拓扑半金属是凝聚态物理的前沿研究领域,理论和实验方面的研究方兴未艾。近年来拓扑绝缘体及其薄膜中关于等离激元的理论和实验研究也如火如荼地开展,然而这些研究大多集中在电子或者空穴掺杂的拓扑绝缘体,此时费米能级处具有非零的态密度。由于拓扑材料中常常存在能带反转,该工作着重研究了本征拓扑绝缘体(费米能级在能隙里,相应的态密度为零)中能带反转诱导的反常等离激元行为。他们发现具有墨西哥帽子(Mexican-hat)的反转能带结构中能带之间的跃迁可以分解为两个在正常能带中不同能带之间的跃迁和两个相同能带内的跃迁过程(图1),在正常能带中不同能带之间的跃迁过程相应的波函数的交叠很小,但是相同能带内的跃迁过程具有很大的波函数的交叠,使得反转能带中能带之间的关联被极大地增强;另一方面,反转能带的边缘是范霍夫奇异点(图2)。这两个要素使得本征拓扑绝缘体可以支持很强的等离激元激发。通过数值计算他们还发现铬或钒掺杂(Bi, Sb)2Te3 薄膜中的等离激元频率为几毫电子伏到几十毫电子伏,并可有效地通过外场调节(图3)。研究还发现破缺粒子--空穴对称性的项会诱导等离激元能谱的劈裂,形成双峰结构(图4)。由于等离激元的行为强烈地依赖能带的拓扑性质,该工作进一步还指出等离激元可以作为探测本征或低度掺杂拓扑绝缘体中拓扑相变的有效方法(图3或图5)。上述研究成果将为拓扑材料在等离激元光子学中潜在的应用提供理论基础和指导。
文章链接:https://link.aps.org/doi/10.1103/PhysRevLett.119.266804
分享到:
