北理工在能谷电子学研究方面取得重要进展
发布日期:2020-09-08 供稿:物理学院
编辑:周格羽 审核:姚裕贵 阅读次数:
日前,金年会jinnianhuicom姚裕贵教授团队成员余智明及其合作者,在能谷电子学研究方面取得重要进展,不仅提出了电场调控能谷的全新设计理念,也预言了具有优良性能的谷层耦合材料,为能谷电子学的发展起到了重要的推动作用。
能谷电子学作为一新兴的研究领域,利用固体材料中的能谷自由度来存储和传递信息,有望发展成为与传统电子学和自旋电子学并立的电子学学科。目前关注度高的能谷材料主要集中在石墨烯和过渡金属硫化物等二维六角格点材料。该类材料具有两个分立但受时间反演对称性相联系的能谷,因此在此类材料中实现能谷的调控必须破坏时间反演对称性,如引入磁性或光场。但从实际应用出发,电场因具有简洁、高效且与当前半导体工艺相兼容等优点,更为适合用于器件的调控。然而,电场并不破坏时间反演对称性,因此在二维六角格点能谷材料中完全用电学手段来调控能谷自由度是无法实现的,十分不利于能谷电子学的应用发展。

图 1:(a)多原子层二维材料可看成由上下两层构成。上层和下层可能含有多个原子层。不同的能谷电子(红色或蓝色)分别局域在上层和下层。(b)当不同能谷电子具有相反的层极化(P)时,施加垂直电场可导致能谷极化。虚线和实线分别表示未加和已加电场时的能带。

图 2:ML-TSCO 的(a) 侧视图(b)俯视图。(c)ML-TSCO的布里渊区,(d)ML-TSCO的声子谱。
该研究工作首先基于绝大多数二维材料具有多个原子层的特点,通过系统性地分析所有层群对称性,指出在5个特殊的层群体系中,只要能谷出现在特定的动量位置,能谷和电子的层极化必然耦合在一起,产生谷层耦合效应,如图1所示。在谷层耦合的能谷材料中,人们可以通过电场(门电压)高效、便捷地调控能谷,如图1b所示。该理论分析直接把搜寻和设计电控能谷材料简化为计算特定5个层群材料的电子能带,为谷电子学的发展带来了极大的便利。随后,该工作即根据上述理论分析,设计出59号层群材料ML-TSCO。该材料的晶体结构同实验已合成的ZrSiS单层结构类似,具有5个原子层,由O、Ti、Si/C、Ti和O原子层相继垂直堆垛而成,如图2所示。

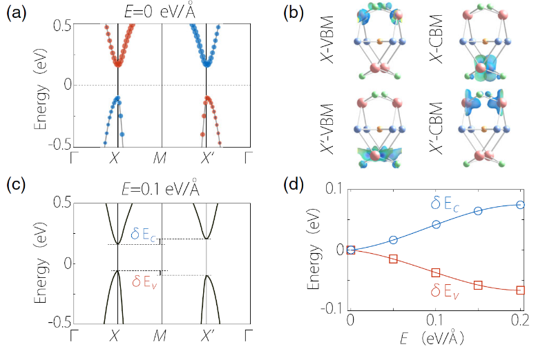
图 3:(a)ML-TSCO的能带图,(b)导带底和价带顶电子的电荷空间分布图,(c)ML-TSCO在施加0.1电子伏每埃的垂直电场后的能带图。此时导带和价带的能量劈裂都已超过室温能标。(d)ML-TSCO的导带劈裂和价带劈裂随电场的变化。
ML-TSCO的电子能带清楚的表明,其为谷层耦合材料:两能谷分别局域于动量空间中的X点和X’点,并具有相反的层极化,如图3a和3b所示。图3c和图3d则给出了ML-TSCO能带随垂直电场的变化行为,其直接表明,电场可导致体系的能谷发生极化,且在0.1电子伏每埃的电场下,ML-TSCO的能谷极化就已达到40毫电子伏特左右,远超室温能标。此外,ML-TSCO的能谷电子的电导具有很强的各向异性,如X点的能谷电子在x方向的有效质量比其在y方向的有效质量重5倍左右,而X’点则恰好相反,因此通过电导的测量可以推测出极化电子的能谷自由度。该工作表明ML-TSCO是可在室温条件下进行全电读写能谷自由度的、性能优良的能谷材料。

图 4:(a)ML-TSCO的能谷光学选择性。(b,c)x和y线偏光可导致具有相反能谷自由度(X’和X)和相反电偶极矩的层间激子。
最后,该研究工作也基于ML-TSCO讨论了谷层耦合所带来的奇异物性,如ML-TSCO的能谷电子具有线偏光选择性;ML-TSCO天然地具有层间激子,且此层间激子的能谷自由度和电偶极矩可以通过线偏光进行控制,如图4所示。
该文章发表于物理学顶级期刊《Physical Review Letters》,作者为余智明、管闪、胜献雷、高炜博和杨声远(Zhi-Ming Yu, Shan Guan, Xian-Lei Sheng, Weibo Gao, and Shengyuan A. Yang),“Valley-Layer Coupling: A New Design Principle for Valleytronics”, Physical Review Letters, 124, 037701 (2020)。
文章链接:https://doi.org/10.1103/PhysRevLett.124.037701
分享到:
